Khái Niệm Độ Không Đảm Bảo Đo
Định Nghĩa
Độ không đảm bảo đo (measurement uncertainty) là một thông số đặc trưng cho sự phân tán của các giá trị có thể được gán một cách hợp lý cho đại lượng đo. Nói cách khác, đây là khoảng giá trị mà trong đó giá trị thực của đại lượng đo có thể nằm với một mức độ tin cậy nhất định.
Độ không đảm bảo đo là thông số gắn liền với kết quả đo, thể hiện mức độ tin cậy của kết quả đó. Nói cách khác, độ không đảm bảo đo cho biết kết quả đo của chúng ta có thể sai lệch bao nhiêu so với giá trị thực tế.
Độ không đảm bảo đo là một thông số đặc trưng cho kết quả hiệu chuẩn, thường có ý nghĩa lớn với thiết bị đo lường chuẩn.
Định Nghĩa Theo Tiêu Chuẩn Quốc Tế
Theo Từ điển Đo lường Quốc tế (VIM – International Vocabulary of Metrology), độ không đảm bảo đo được định nghĩa là:
“Thông số không âm đặc trưng cho sự phân tán của các giá trị được gán cho đại lượng đo, dựa trên thông tin được sử dụng”
Tại Sao Độ Không Đảm Bảo Đo Quan Trọng?
| Lĩnh vực | Tầm quan trọng | Hậu quả nếu không xác định |
| Y tế | Chẩn đoán chính xác | Sai lệch trong kết quả xét nghiệm |
| Công nghiệp | Kiểm soát chất lượng | Sản phẩm không đạt tiêu chuẩn |
| Nghiên cứu khoa học | Độ tin cậy kết quả | Kết luận sai lệch |
| Thương mại | Công bằng trong giao dịch | Tranh chấp về chất lượng |
Ví dụ: Đo chiều cao của bạn, bạn muốn biết chiều cao chính xác của mình để mua quần áo online.
Khi đo bằng thước dây tại nhà:
- Lần 1: 168.2 cm
- Lần 2: 167.8 cm
- Lần 3: 168.5 cm
- Lần 4: 167.9 cm
- Lần 5: 168.1 cm
Trung bình: 168.1 cm
Nhưng tại sao mỗi lần đo lại khác nhau?
- Thước dây không hoàn hảo – có thể giãn ra 1-2mm
- Cách đọc số – mắt bạn nhìn nghiêng, đọc lệch vài mm
- Tư thế đứng – lúc đứng thẳng, lúc cúi người
- Sàn nhà không bằng phẳng – chênh lệch 1-2mm
- Thời điểm trong ngày – sáng cao hơn tối (cột sống nén lại)
Kết luận thực tế:
Thay vì nói “Tôi cao 168.1 cm”, bạn nên nói: “Tôi cao 168.1 ± 0.5 cm”
Nghĩa là chiều cao thực của bạn nằm trong khoảng 167.6 cm đến 168.6 cm.
Đó chính là “độ không đảm bảo đo”!
- 168.1 cm = giá trị đo được
- ±0.5 cm = độ không đảm bảo (khoảng sai số có thể xảy ra)
Ý nghĩa thực tế: Khi mua quần, nếu size M dành cho người 165-170cm, bạn yên tâm chọn vì chắc chắn chiều cao của bạn nằm trong khoảng này. Nhưng nếu size M chỉ dành cho 167.8-168.0cm thì rủi ro cao!
Đây chính là lý do tại sao trong y tế, công nghiệp, khoa học… người ta phải tính toán độ không đảm bảo đo – để biết kết quả “tin cậy đến mức nào”.
Phân Loại Độ Không Đảm Bảo Đo
1. Theo Phương Pháp Đánh Giá
Trong đo lường và đánh giá độ không đảm bảo (uncertainty) của phép đo, người ta thường phân loại độ không đảm bảo thành loại A và loại B theo cách đánh giá của chúng:
1.1 – Độ không đảm bảo loại A (Type A Uncertainty)
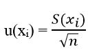
Là độ không đảm bảo được đánh giá thông qua phân tích thống kê các kết quả đo lặp lại. Xuất phát từ các biến động ngẫu nhiên trong quá trình đo.
Cách xác định:
Dựa trên các phép đo lặp lại nhiều lần (ví dụ: đo cùng một đại lượng 10 lần).
Tính toán giá trị trung bình, độ lệch chuẩn và độ không đảm bảo chuẩn (standard uncertainty).
Ví dụ: Bạn đo chiều dài của một vật 10 lần bằng thước và có 10 kết quả hơi khác nhau → sử dụng thống kê để tính độ không đảm bảo loại A.
1.2 – Độ không đảm bảo loại B (Type B Uncertainty)
Định nghĩa: Là độ không đảm bảo được đánh giá không dựa vào phương pháp thống kê lặp lại, mà dựa vào kiến thức chuyên môn hoặc tài liệu kỹ thuật. Từ các yếu tố như:
+ Độ chính xác của thiết bị đo (sai số được ghi trong catalog).
+ Kinh nghiệm của người đo.
+ Điều kiện môi trường.
+ Dữ liệu từ hiệu chuẩn.
Cách xác định:
Ước lượng theo thông tin sẵn có (ví dụ: sai số giới hạn ±0,1 mm → chia theo phân bố đều hoặc tam giác… để tính độ không đảm bảo chuẩn).
2. Theo Nguồn Gốc Sai Số
Sai Số Ngẫu Nhiên
- Đặc điểm: Thay đổi không dự đoán được
- Biểu hiện: Kết quả đo phân tán xung quanh giá trị trung bình
- Cách giảm thiểu: Tăng số lần đo
Sai Số Hệ Thống
- Đặc điểm: Có quy luật, có thể dự đoán
- Biểu hiện: Làm lệch kết quả về một phía
- Cách giảm thiểu: Hiệu chuẩn thiết bị, sử dụng vật liệu chuẩn
Cách Tính Độ Không Đảm Bảo Đo
Bước 1: Xác Định Mô Hình Đo
Giả sử đại lượng đo Y phụ thuộc vào các đại lượng đầu vào x₁, x₂, …, xₙ
Y = f(x₁, x₂, …, xₙ)
Bước 2: Xác Định Độ Không Đảm Bảo Tiêu Chuẩn Của Các Đại Lượng Đầu Vào
Đối với độ không đảm bảo loại A:

Đối với độ không đảm bảo loại B:

Giả sử đại lượng x phân bố đều trong đoạn [-a; a], khi đó giá trị nửa đoạn là a.
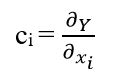
Bước 3: Tính Hệ Số Độ Nhạy
Hệ số độ nhạy (sensitivity coefficient) biểu thị sự thay đổi của đại lượng đo Y khi đại lượng đầu vào Xi thay đổi một đơn vị:

Ý nghĩa vật lý: Hệ số cᵢ cho biết ảnh hưởng của từng nguồn sai số đến kết quả cuối cùng.
Các Trường Hợp Tính Toán Cụ Thể
Trường hợp 1: Hàm tuyến tính: Y = a₁x₁ + a₂x₂ + … + aₙxₙ + b => Hệ số độ nhạy: cᵢ = aᵢ
Trường hợp 2: Hàm tích: Y = x₁^α₁ × x₂^α₂ × … × xₙ^αₙ => Hệ số độ nhạy tương đối: cᵢ = αᵢ
Trường hợp 3: Hàm phức tạp Sử dụng phương pháp vi phân từng phần:

Ví Dụ Tính hệ số nạy của hàm mật độ sau ρ = m/V
Giải:
- ∂ρ/∂m = 1/V → c₁ = 1/V
- ∂ρ/∂V = -m/V² → c₂ = -m/V²
Với m = 50g, V = 25ml:
- c₁ = 1/25 = 0.04 g⁻¹ml⁻¹
- c₂ = -50/25² = -0.08 g·ml⁻²
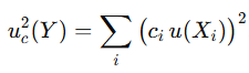
Bước 4: Tính Độ Không Đảm Bảo Tổng Hợp
Định Luật Lan Truyền Độ Không Đảm Bảo (Uncertainty Propagation Law)
Công thức tổng quát (khi có tương quan):

Công thức đơn giản (khi các đại lượng độc lập):

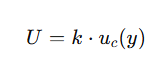
Bước 5: Tính Độ Không Đảm Bảo Mở Rộng
Cơ Sở Lý Thuyết
Độ không đảm bảo mở rộng được định nghĩa:

Trong đó k là hệ số phủ (coverage factor), được xác định dựa trên:
- Mức tin cậy mong muốn (thường 95% hoặc 99%)
- Phân bố xác suất của đại lượng đo
- Số bậc tự do hiệu dụng
Xác Định Hệ Số Phủ k
Bảng Hệ Số Phủ Theo Mức Tin Cậy
| Mức tin cậy (%) | Phân bố chuẩn (k) | Phân bố t-Student (ν=∞) | Phân bố t-Student (ν=5) |
| 68.27 | 1.00 | 1.00 | 1.05 |
| 90.00 | 1.645 | 1.645 | 2.02 |
| 95.00 | 1.960 | 1.960 | 2.57 |
| 95.45 | 2.00 | 2.00 | 2.61 |
| 99.00 | 2.576 | 2.576 | 4.03 |
| 99.73 | 3.00 | 3.00 | 5.89 |
Các Nguồn Gây Ra Độ Không Đảm Bảo Đo
1. Từ Thiết Bị Đo
Bảng Phân Tích Nguồn Sai Số Thiết Bị
| Nguồn sai số | Loại | Cách đánh giá | Phương pháp giảm thiểu |
| Độ phân giải | B | ±(phân giải)/(2√3) | Chọn thiết bị có độ phân giải cao hơn |
| Độ chính xác | B | Từ giấy chứng nhận | Hiệu chuẩn định kỳ |
| Độ tuyến tính | B | Kiểm tra bằng chuẩn | Sử dụng đường cong hiệu chuẩn |
| Nhiễu | A | Phân tích thống kê | Chống nhiễu, lọc tín hiệu |
2. Từ Phương Pháp Đo
Yếu tố môi trường:
- Nhiệt độ: Δt = ±αΔT (α: hệ số dãn nở nhiệt)
- Độ ẩm: Ảnh hưởng đến cân điện tử, thiết bị quang học
- Áp suất: Ảnh hưởng đến đo thể tích khí
Yếu tố con người:
- Sai số khi đọc kết quả
- Sai số thị sai khi nhìn không chuẩn
3. Từ Mẫu Đo
- Phân hủy theo thời gian
- Biến đổi do điều kiện bảo quản
Tiêu Chuẩn Quốc Tế
1. ISO/IEC Guide 98 (GUM)
Tên đầy đủ: Guide to the Expression of Uncertainty in Measurement
Nội dung chính:
- Định nghĩa các thuật ngữ cơ bản
- Hướng dẫn đánh giá độ không đảm bảo đo
- Phương pháp lan truyền độ không đảm bảo
- Cách biểu diễn kết quả đo
2. ISO 5725 Series
Độ chính xác của phương pháp đo và kết quả đo:
- Phần 1: Nguyên tắc và định nghĩa chung
- Phần 2: Phương pháp cơ bản xác định độ lặp lại và độ tái lập
- Phần 3: Thước đo trung gian về độ chính xác
- Phần 4: Phương pháp cơ bản xác định tính đúng đắn
- Phần 5: Phương pháp thay thế xác định độ chính xác
- Phần 6: Sử dụng giá trị độ chính xác trong thực tế
3. Các Tiêu Chuẩn Việt Nam
TCVN 9595:2013
- Tên: Hướng dẫn biểu diễn độ không đảm bảo đo
- Tương đương: ISO/IEC Guide 98-3:2008
TCVN 6910:2001
- Tên: Độ chính xác (độ đúng và độ chụm) của phương pháp đo và kết quả đo
- Tương đương: ISO 5725-1:1994
Phần Mềm Tính Toán Độ Không Đảm Bảo Chuyên Nghiệp
Hiệu Chuẩn TP đã phát triển một công cụ tính toán độ không đảm bảo đo chuyên nghiệp, được thiết kế riêng để phục vụ các nhu cầu thực tế trong công tác hiệu chuẩn và đo lường tại Việt Nam.
Đặc Điểm Nổi Bật
| Tính năng | Mô tả | Lợi ích |
| Giao diện tiếng Việt | Hoàn toàn bằng tiếng Việt | Dễ sử dụng cho kỹ thuật viên |
| Cơ sở dữ liệu thiết bị | Tích hợp thông số kỹ thuật thiết bị phổ biến | Tiết kiệm thời gian tra cứu |
| Báo cáo tự động | Tạo báo cáo theo mẫu chuẩn | Chuyên nghiệp, nhất quán |
Tùy Chỉnh Theo Lĩnh Vực Của Từng Ngành Nghề
Hiệu Chuẩn TP cung cấp dịch vụ phát triển phần tính toán độ không đảm bảo đo tùy chỉnh cho từng ngành nghề cụ thể:
Ngành Công Nghiệp Cơ Khí Chính Xác:
- Tích hợp các tiêu chuẩn (ISO/IEC 17025)
- Phương pháp phân tích đặc thù sản phẩm
- Giúp xác định năng lực đo lường (CMC) của phòng thí nghiệm.
Ngành Y Tế – Xét Nghiệm:
- Tích hợp các tiêu chuẩn CLIA 88
- Cơ sở dữ liệu sinh học cho phép
- Tính toán theo từng loại xét nghiệm
Ngành Thực Phẩm:
- Tuân thủ tiêu chuẩn AOAC, ISO 17025
- Phương pháp phân tích đặc thù thực phẩm
- Tính toán cho phân tích vi sinh, hóa học
Ngành Dược Phẩm:
- Theo USP, EP, JP guidelines
- Validation method cho HPLC, GC
- Tính toán độ tinh khiết, tạp chất
Ngành Môi Trường:
- Theo TCVN, QCVN và US EPA
- Phân tích nước, không khí, đất
- Tính toán cho phương pháp hiện trường
Dịch Vụ Hỗ Trợ Khách Hàng
Khi sử dụng dịch vụ hiệu chuẩn tại Hiệu Chuẩn TP, khách hàng được hỗ trợ:
- Đào tạo sử dụng phần mềm: Hướng dẫn chi tiết cách sử dụng
- Tùy chỉnh theo yêu cầu: Điều chỉnh phù hợp với quy trình cụ thể
- Cập nhật thường xuyên: Theo dõi thay đổi tiêu chuẩn
- Hỗ trợ kỹ thuật 24/7: Giải đáp thắc mắc, xử lý sự cố
Kết Luận
Độ không đảm bảo đo là khái niệm cốt lõi trong khoa học đo lường hiện đại, đóng vai trò quan trọng trong việc đánh giá chất lượng và độ tin cậy của kết quả đo. Việc hiểu rõ và áp dụng đúng các phương pháp tính toán độ không đảm bảo không chỉ giúp nâng cao chất lượng đo lường mà còn đảm bảo tính khoa học và khách quan trong nghiên cứu và sản xuất.
Những điểm chính cần nhớ:
- Luôn xác định và báo cáo độ không đảm bảo kèm theo kết quả đo
- Phân loại đúng nguồn sai số để áp dụng phương pháp tính toán phù hợp
- Tuân thủ tiêu chuẩn quốc tế trong đánh giá và biểu diễn
- Cập nhật kiến thức theo xu hướng phát triển của khoa học đo lường
- Áp dụng công nghệ mới để nâng cao hiệu quả và độ chính xác
Trong bối cảnh khoa học đo lường hiện đại, việc nắm vững lý thuyết và thực hành đánh giá độ không đảm bảo đo không chỉ là yêu cầu kỹ thuật mà còn là nền tảng cho sự phát triển bền vững của các ngành công nghiệp và dịch vụ.
Liên hệ TP Việt Nam
- Hotline: 0375059295
- Email: hieuchuantp@gmail.com
- Website: hieuchuantp.com

